Arama butonu
Bu konudaki kullanıcılar: 1 misafir, 1 mobil kullanıcı
19
Cevap
2568
Tıklama
0
Öne Çıkarma
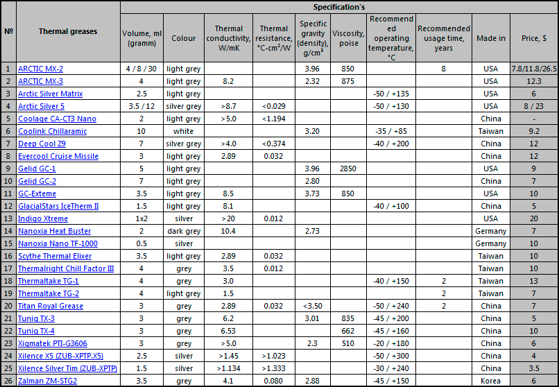
Termal Macun Veri Tabanı
O
13 yıl (7979 mesaj)
Yarbay
Konu Sahibi

O
13 yıl (7979 mesaj)
Yarbay
Konu Sahibi

O
13 yıl (7979 mesaj)
Yarbay
Konu Sahibi

O
13 yıl (7979 mesaj)
Yarbay
Konu Sahibi

P
13 yıl (2438 mesaj)
Binbaşı

D
13 yıl (218 mesaj)
Teğmen

eline sağlık sürekli tavsiye isteyenlerin bakması yaralı olacaktır...tavsiye istemeden önce bi araştırma yapsalar kendileri halledecekler ama.........


Bu mesaja 1 cevap geldi.
L
13 yıl (612 mesaj)
Yüzbaşı

İnceleme çok güzel, teşekkürler..


Bu mesaja 1 cevap geldi.
G
13 yıl (5013 mesaj)
Yarbay

Sadece kafa karıştırır bu grafikler :)
3 aşağı 5 yukarı hepsi aynıdır ucuz olanı alıp kullanmak en mantıklısı :)


Bu mesaja 1 cevap geldi.
R
13 yıl (4062 mesaj)
Binbaşı

Mesajım bulunsun lazım olur burası bana


Bu mesaja 1 cevap geldi.
M
13 yıl (510 mesaj)
Yüzbaşı

khan ultra factor 900k kullanıyorum, daha önce ocz freeze max kullanmıştım.reklam yapar gibi olmasın ama arada bariz fark var. işlemcime uyguladım ; bu sıcaklarda yük altında 70 dereceye doğru giden sıcaklıklar bu macunu uyguladıktan sonra (macun çok katı,tamamiyle elle yaydım) 60derece görmedim. işlemci soğutucum CM mars. saygılar.


Bu mesaja 1 cevap geldi.
A
13 yıl (27539 mesaj)
Yarbay

F
13 yıl (3141 mesaj)
Yarbay

geniş inceleme ellirine, beynine sağlık



M
13 yıl (708 mesaj)
Teğmen

guzel ınceleme baya ugrasmıssın



< Bu ileti mobil sürüm kullanılarak atıldı >
Bu mesaja 1 cevap geldi.
S
13 yıl (4988 mesaj)
Yarbay

Şimdi yurt içinden bulabileceğimiz en iyi ürün hangisi tavsiyesi olan?

Gümüş içerikli olması iyi mi kötü? İletken diye tavsiye edilmiyor ama çok iyi yalıtım yaptığı söyleniyor.


Bu mesaja 1 cevap geldi.
A
13 yıl (27539 mesaj)
Yarbay

quote:

Orijinalden alıntı: skyw@lker

Şimdi yurt içinden bulabileceğimiz en iyi ürün hangisi tavsiyesi olan?

Gümüş içerikli olması iyi mi kötü? İletken diye tavsiye edilmiyor ama çok iyi yalıtım yaptığı söyleniyor.

http://www.firebal.net/asp/show_stock.asp?product=12716


Bu mesaja 1 cevap geldi.
F
13 yıl (3141 mesaj)
Yarbay

quote:

Orijinalden alıntı: İmportant

quote:

Orijinalden alıntı: skyw@lker

Şimdi yurt içinden bulabileceğimiz en iyi ürün hangisi tavsiyesi olan?

Gümüş içerikli olması iyi mi kötü? İletken diye tavsiye edilmiyor ama çok iyi yalıtım yaptığı söyleniyor.

http://www.firebal.net/asp/show_stock.asp?product=12716

gercekten cok iyi 82 W/mK, fiyatıda uygun


Bu mesaja 1 cevap geldi.
İ
13 yıl (2103 mesaj)
Yüzbaşı

çok yararlı bir konu emeğiniz için teşekkürler


Bu mesaja 1 cevap geldi.
O
13 yıl (7979 mesaj)
Yarbay
Konu Sahibi

Arkadaşlar Coollaboratory Liquid Ultra getirtecegim, test sonuçlarına göre en iyi diye lanse edilen mx4,pk1 gibi macunlara 4-5 derece fark atıyor.Eger almayı düşünen varsa bir adet getirtebilirim.Amacım kar degil kargo masrafını paylaşmak frozencpu fiyatına 7$ kargo koyun sadece.


Bu mesaja 1 cevap geldi.
_
13 yıl (48374 mesaj)
Yarbay

quote:

Orijinalden alıntı: OneTreeHill

Arkadaşlar Coollaboratory Liquid Ultra getirtecegim, test sonuçlarına göre en iyi diye lanse edilen mx4,pk1 gibi macunlara 4-5 derece fark atıyor.Eger almayı düşünen varsa bir adet getirtebilirim.Amacım kar degil kargo masrafını paylaşmak frozencpu fiyatına 7$ kargo koyun sadece.

Ne yaptınız, getirtebildiniz mi?

Bu arada MX2 aldım, doğru bir seçim yapmış mıyım ?

Thermalright True Sprit ile kullanacağım.


Bu mesaja 1 cevap geldi.
A
12 yıl (2260 mesaj)
Binbaşı

Piyasadaki termal macunlar ve kıvamları burada:

http://forums.overclockers.co.uk/showthread.php?t=18416534

< Resime gitmek için tıklayın >


Türkiye'de kolayca bulunanlardan bir iki örnek:

Akasa 455

< Resime gitmek için tıklayın >

Cooler Master E1

< Resime gitmek için tıklayın >

Cooler Master E2

< Resime gitmek için tıklayın >



DH Mobil uygulaması ile devam edin. Mobil tarayıcınız ile mümkün olanların yanı sıra, birçok yeni ve faydalı özelliğe erişin. Gizle ve güncelleme çıkana kadar tekrar gösterme.