1. sayfa
DH forumlarında vakit geçirmekten keyif alıyor gibisin ancak giriş yapmadığını görüyoruz. Üye olduğunda özel mesaj gönderebilir, beğendiğin konuları favorilerine ekleyip takibe alabilir ve daha önce gezdiğin konulara hızlıca erişebilirsin.
quote:Orijinalden alıntı: Sunset Sarsaparilla Son soruya dikkatli bakarsan verilen ifsdr f(x)/x in turevi
quote:Orijinalden alıntı: 12osman12 46. soru -7 (e) --- 44. soru ise 3 (b) olması lazım ?
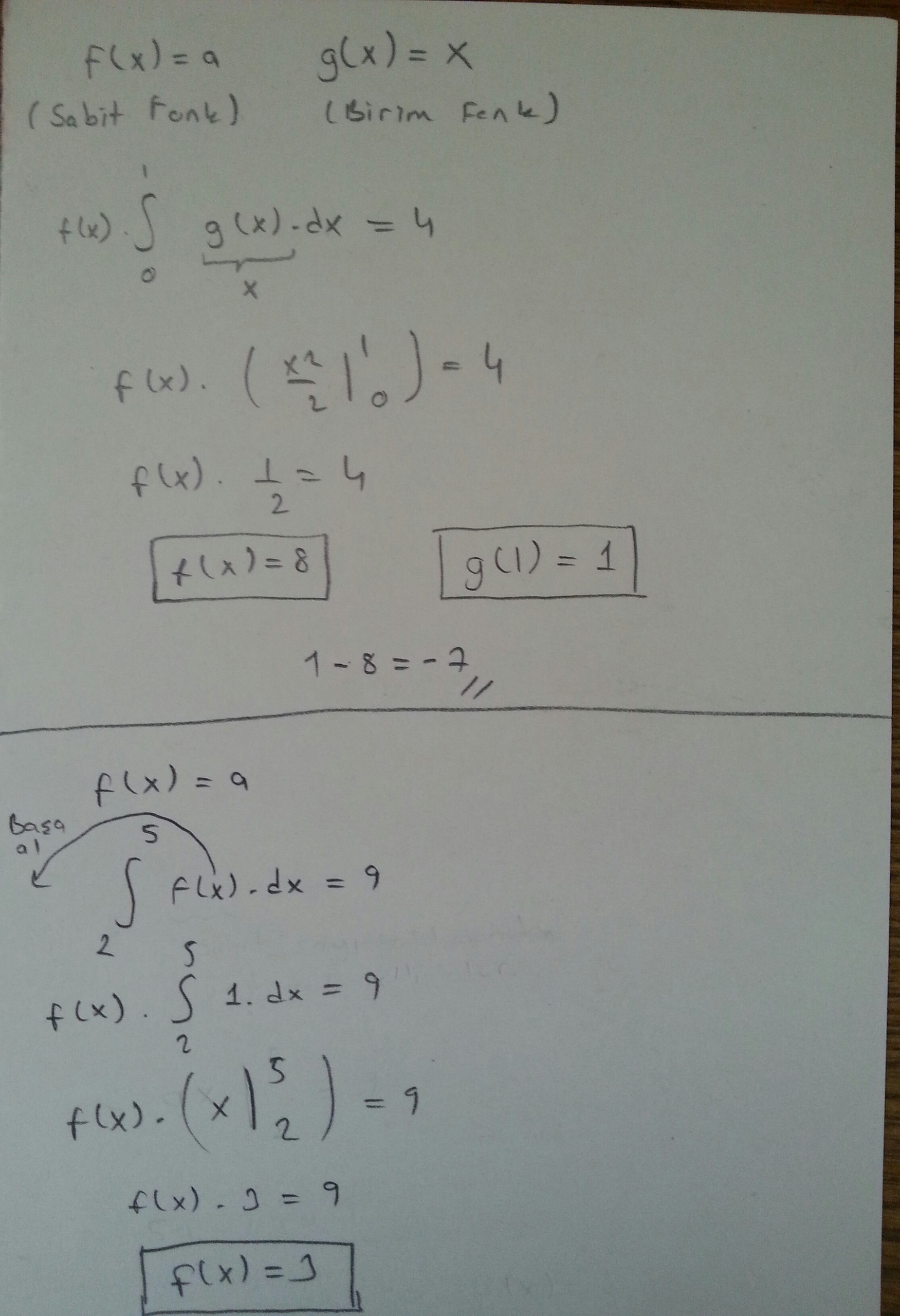
quote:Orijinalden alıntı: 12osman12 Buyur dostum sabit ve birim fonksiyonun tanımlarından gittim.Hata olmasa gerek :) < Resime gitmek için tıklayın >
İntg de iyi degılım, uyguladıgınız kuralıda not dusersenız sevinirim tsk.
DH forumlarında vakit geçirmekten keyif alıyor gibisin ancak giriş yapmadığını görüyoruz.
Üye Ol Şimdi DeğilÜye olduğunda özel mesaj gönderebilir, beğendiğin konuları favorilerine ekleyip takibe alabilir ve daha önce gezdiğin konulara hızlıca erişebilirsin.
< Bu ileti tablet sürüm kullanılarak atıldı >