Kuantum hesaplamanın en büyük sorunlarından biri olan ısı ve gürültü, bu kez çözümün kendisi oldu. İsveç’teki Chalmers Teknoloji Üniversitesi araştırmacıları, kuantum sistemlerini soğutmak için rastgeleliği kontrollü biçimde mikrodalga sinyalleri üzerinden kullanan yeni bir yöntem geliştirdi.
Kuantum bilgisayarlar, teoride klasik bilgisayarların ulaşamayacağı hesaplama gücüne sahip. Ancak bu potansiyelin önündeki en büyük engel, kübitlerin aşırı hassas yapısı. En küçük bir titreşim, tek bir foton ya da ihmal edilebilir düzeydeki bir ısı dalgalanması bile kuantum bilgisini yok edebiliyor. Bu nedenle araştırmacılar yıllardır “gürültüyü” tamamen ortadan kaldırmaya çalışıyor.
Nature Communications dergisinde yayımlanan araştırmada ekip, “minimal kuantum buzdolabı” olarak adlandırılan bir sistem tanıttı. Bu sistem, klasik bir soğutucuda olduğu gibi ısıyı bir bölgeden alıp kontrollü biçimde başka bir yöne taşıyarak hedeflenen kuantum bileşeni soğutuyor ancak bunu mikroskobik ölçekte ve mikrodalga gürültüsü yardımıyla gerçekleştiriyor. Dolayısıyal rastgelelik burada bir sorun değil, aksine kontrollü bir araç olarak kullanılıyor.
Yapay molekül deneyin merkezinde
Deneyin merkezinde, atomlardan değil elektronik devrelerden oluşan süperiletken bir “yapay molekül” yer alıyor. Doğal moleküllerde olduğu gibi bu yapı da enerji alışverişini iki ayrı mikrodalga kanalı üzerinden gerçekleştiriyor. Bu kanallar, biri sıcak diğeri soğuk olmak üzere iki farklı rezervuar gibi çalışıyor.
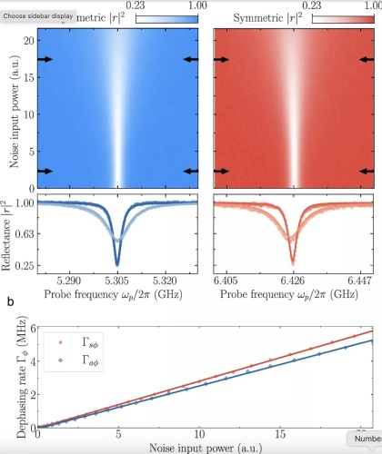
Araştırmacılar üçüncü bir kanal üzerinden sisteme belirli bir frekans bandında rastgele sinyal dalgalanmaları enjekte ettiğinde, bu gürültü ısı taşınımını başlatan ve düzenleyen bir anahtar işlevi görüyor. Gürültünün spektrumu bilinçli şekilde şekillendirildiğinde, attowatt mertebesinde ısı akımları hem ölçülebiliyor hem de kontrol edilebiliyor.
Bunu ölçeklendirmek gerekirse, bu kadar düşük bir ısı akımıyla bir damla suyu ısıtmaya çalışsanız, sıcaklığını yalnızca 1 santigrat derece artırmak için evrenin yaşından daha uzun süre beklemeniz gerekir.
Bu fikir, uzun süredir teorik olarak bilinen Brownian soğutma kavramına dayanıyor. Teoriye göre, rastgele hareketler doğru koşullar altında yönlü bir soğutma etkisi yaratabiliyor. Çalışmanın kıdemli yazarı ve Chalmers’ta doçent olan Simone Gasparinetti, geliştirilen sistemin bu teorinin şimdiye kadarki en eksiksiz deneysel gerçekleştirmesi olduğunu söylüyor. Gürültüye yapıcı bir rol vererek, klasik kriyojenik soğutmanın yetersiz kaldığı son derece küçük ölçeklerde termodinamik dengenin kurulabildiğini vurguluyor.
Mutlak sıfıra yakın çalışan kuantum işlemciler
IBM, Google ve benzeri şirketlerin geliştirdiği süperiletken tabanlı kuantum işlemciler, yaklaşık -273 °C, yani mutlak sıfıra çok yakın sıcaklıklarda çalışmak zorunda. Bu koşullarda elektronlar dirençsiz hareket ediyor ve kuantum mantığının temelini oluşturan dolaşık durumlar ortaya çıkabiliyor. Ancak bu aşırı düşük sıcaklıklara rağmen, ısı halen kuantum hesaplamanın en inatçı düşmanlarından biri olmaya devam ediyor.
Özellikle büyük ölçekli kuantum mimarilerinde, potansiyel ısı ve gürültü kaynaklarının sayısı hızla artıyor. Bu da yalnızca dıştan yapılan soğutmanın yeterli olmayacağını, devrelerin kendi içinde yerel ısı kontrolüne ihtiyaç duyulduğunu gösteriyor.
Chalmers ekibinin geliştirdiği minimal kuantum buzdolabı yalnızca soğutma işleviyle sınırlı değil. Rezervuarların ayarlarına bağlı olarak sistem bir ısı motoru ya da bir yükselteç olarak da çalışabiliyor. Bu çok yönlülük, gelecekte modüler kuantum bileşenlerinin tasarlanmasında kritik bir rol oynayabilir.
Sonu olarak yapay zeka sektörü de eninde sonunda doyurma ulaşacak ve doyurma ulaştığı an Ram ve nand çiplerinin yığılma olma ası için üretim kapasitesi arttırılmıyor ki bu şekilde fazladan gelir de sağlanmış oluyor 1-2 yıla bu durum biter ve zaten cihazını yeni alanlar ancak eskimeye başlamış olur
< Bu mesaj bu kişi tarafından değiştirildi Arximet -- 2 Şubat 2026; 23:33:35 >
Kuantum bilgisayarlar, teoride klasik bilgisayarların ulaşamayacağı hesaplama gücüne sahip. Ancak bu potansiyelin önündeki en büyük engel, kübitlerin aşırı hassas yapısı. En küçük bir titreşim, tek bir foton ya da ihmal edilebilir düzeydeki bir ısı dalgalanması bile kuantum bilgisini yok edebiliyor. Bu nedenle araştırmacılar yıllardır “gürültüyü” tamamen ortadan kaldırmaya çalışıyor.
Nature Communications dergisinde yayımlanan araştırmada ekip, “minimal kuantum buzdolabı” olarak adlandırılan bir sistem tanıttı. Bu sistem, klasik bir soğutucuda olduğu gibi ısıyı bir bölgeden alıp kontrollü biçimde başka bir yöne taşıyarak hedeflenen kuantum bileşeni soğutuyor ancak bunu mikroskobik ölçekte ve mikrodalga gürültüsü yardımıyla gerçekleştiriyor. Dolayısıyal rastgelelik burada bir sorun değil, aksine kontrollü bir araç olarak kullanılıyor.
Yapay molekül deneyin merkezinde
Ayrıca Bkz.İnsanlarla etkileşim için tasarlanan yeni “yumuşak” insansı robot: Sprout
Araştırmacılar üçüncü bir kanal üzerinden sisteme belirli bir frekans bandında rastgele sinyal dalgalanmaları enjekte ettiğinde, bu gürültü ısı taşınımını başlatan ve düzenleyen bir anahtar işlevi görüyor. Gürültünün spektrumu bilinçli şekilde şekillendirildiğinde, attowatt mertebesinde ısı akımları hem ölçülebiliyor hem de kontrol edilebiliyor.
Bu fikir, uzun süredir teorik olarak bilinen Brownian soğutma kavramına dayanıyor. Teoriye göre, rastgele hareketler doğru koşullar altında yönlü bir soğutma etkisi yaratabiliyor. Çalışmanın kıdemli yazarı ve Chalmers’ta doçent olan Simone Gasparinetti, geliştirilen sistemin bu teorinin şimdiye kadarki en eksiksiz deneysel gerçekleştirmesi olduğunu söylüyor. Gürültüye yapıcı bir rol vererek, klasik kriyojenik soğutmanın yetersiz kaldığı son derece küçük ölçeklerde termodinamik dengenin kurulabildiğini vurguluyor.
Mutlak sıfıra yakın çalışan kuantum işlemciler
IBM, Google ve benzeri şirketlerin geliştirdiği süperiletken tabanlı kuantum işlemciler, yaklaşık -273 °C, yani mutlak sıfıra çok yakın sıcaklıklarda çalışmak zorunda. Bu koşullarda elektronlar dirençsiz hareket ediyor ve kuantum mantığının temelini oluşturan dolaşık durumlar ortaya çıkabiliyor. Ancak bu aşırı düşük sıcaklıklara rağmen, ısı halen kuantum hesaplamanın en inatçı düşmanlarından biri olmaya devam ediyor.
Özellikle büyük ölçekli kuantum mimarilerinde, potansiyel ısı ve gürültü kaynaklarının sayısı hızla artıyor. Bu da yalnızca dıştan yapılan soğutmanın yeterli olmayacağını, devrelerin kendi içinde yerel ısı kontrolüne ihtiyaç duyulduğunu gösteriyor.
Chalmers ekibinin geliştirdiği minimal kuantum buzdolabı yalnızca soğutma işleviyle sınırlı değil. Rezervuarların ayarlarına bağlı olarak sistem bir ısı motoru ya da bir yükselteç olarak da çalışabiliyor. Bu çok yönlülük, gelecekte modüler kuantum bileşenlerinin tasarlanmasında kritik bir rol oynayabilir.
Kaynak:https://www.techspot.com/news/111144-engineers-found-way-cool-quantum-systems-using-microwave.html
Kaynak:https://www.nature.com/articles/s41467-025-67751-z
Haberi Portalda Gör