Arama butonu
Bu konudaki kullanıcılar: 1 misafir, 1 mobil kullanıcı
834
Cevap
62119
Tıklama
5
Öne Çıkarma
Cevap: Araç Değer Kaybı | Ana Konu (43. sayfa)
X
geçen ay (29 mesaj)
Onbaşı

Bilgi için teşekkür ederim.

Bu ödemeyi karşı tarafın sigortası mı yapacak, yoksa kendi kaskom mu karşılayacak? Ayrıca bu tutarı almak için hangi adımları izlemem gerekiyor?

Şimdiden teşekkür ederim.




Bu mesajda bahsedilenler: @Ankaradegerkaybı
C
geçen ay (818 mesaj)
Yüzbaşı

Peki bu konuda bir şey yapılmaz mı?25 bin teklif gelmişti kabul etmedim. Avukat 100 bin üzerinde alabilirsiniz tarzında bir söylemi olmuştu ama avukata vermedim kendim ilerliyorum. İnternette bazı değer kaybı hesap yapan sitelerde bilgileri girdiğimde 100 bin üzerinde değerler çıktı. Yapay zekaya hesaplattığımda 25 bin çıkmıştı. Acaba arabulucu da yapay zekaya hesaplatıp onu mu teklif etti :)




Bu mesajda bahsedilenler: @Ankaradegerkaybı
E
geçen ay (6936 mesaj)
Yarbay

2 hafta önce koru sigortaya değer kaybı için başvurdum dosya durumuna baktım eksik dosya var diye arıyorum firmanın görevlendirilen ekspertiz firmasını bana dediği ekspertiz evrakı eksik diyor hasar dosyası kapanmamış diyor alemler valla kendileri benim hasara göre değer kaybı hesaplayacak aracı firma olmasına rağmen ekspertiz dosyası eksik diyor bana bakalım ne olacak yol gösteren de yok bu arada e devletten eksper ataması vs yapmamıştım ben.


< Resime gitmek için tıklayın >





< Bu mesaj bu kişi tarafından değiştirildi Emekkk -- 6 Ekim 2025; 16:4:1 >

< Bu ileti mobil sürüm kullanılarak atıldı >

C
geçen ay (818 mesaj)
Yüzbaşı

Bugün sigorta şirketi hesabıma 25 bin lirayı yatırmış. Arabulucuya kabul etmediğimizi söylemiştik. Bunun bir itiraz süreci yok mu? varsa nasıl ilerlemek gerekiyor.


Bu mesaja 2 cevap geldi.
X
geçen ay (29 mesaj)
Onbaşı

Değer kaybı için SBM üzerinden eksper ataması yapmıştım. Tramere işleyen tutar yaklaşık 102.000 TL civarındaydı.
Bugün şu şekilde bir mesaj geldi:
quote:

Eksper raporu sisteme yüklenmiştir.
Rapor sonucuna göre hesaplanan değer kaybı tutarı: 0,00 TL.
Mağdur/sigorta sözleşmesinden menfaat sağlayan kişiler, ilgili eksperden raporu temin edebilir.
Atama Tipi: Değer Kaybı Ataması (Hasar Eksper Ataması / Değer Kaybı Eksper Ataması)
Atama Şekli: Rastgele (Seçerek / Sıralı)
Atama Türü: Normal (Normal / İtiraz)
>Forumda araştırma yaptığımda, bu şekilde 0 TL değer kaybı mesajı alan başka kişiler de olduğunu gördüm. Bu durumda, SBM’nin değer kaybı için eksper atama sistemi herhangi bir işe yaramıyor gibi görünüyor. Bu eksperi veya SBM’yi şikayet etsek de muhtemelen bir sonuç çıkacağını düşünmüyorum.

İtraz ettim, başka bir ekspere atanacak ama pek ümidim yok.



C
geçen ay (71 mesaj)
Çavuş

2023 model seat Leon 1.0 etsi



< Bu ileti Android uygulamasından atıldı >


Bu mesajda bahsedilenler: @Ankaradegerkaybı
O
geçen ay (2789 mesaj)
Yarbay

İtiraz süreci var. Bu parayı alıp üstüne yeterli değil diyip para talep edebilirsiniz. Dava açmanız lazım. Hangi parçalar değişti veya boyandı. Hasar kaydı ne kadar işlendi?



< Bu ileti mobil sürüm kullanılarak atıldı >


Bu mesajda bahsedilenler: @cauchy33
O
geçen ay (2789 mesaj)
Yarbay

Yukardaki mesajinizi yeni gördüm. Izgara far tampon, ayna, lambalar değer kaybına girmez. Kaporta aksamı değer kaybına girer.



< Bu ileti mobil sürüm kullanılarak atıldı >
Bu mesaja 1 cevap geldi.

Bu mesajda bahsedilenler: @cauchy33
C
geçen ay (818 mesaj)
Yüzbaşı

Yani 25 bin yeterli bir tutar mı? çok anlamıyorum bu işten gpt ve gemine sordum hesaplattım en ince ayrıntısına kadar bildirdim birisi 90 bin diğer 75 bin hesapladı. Mantıklı bir açıklamada yaptı. "ekspertiz raporunuzdaki veriler esas alındığında gerçek değer kaybı tutarı yaklaşık 90.000 TL olarak hesaplanmaktadır:
  • Araç rayiç bedeli (A): 1.400.000 TL
  • Onarım oranı (B): 140.057 / 1.400.000 = 0,10
  • Kullanılmışlık katsayısı (C): 0,90 (0–2 yaş arası araç)
  • Parça katsayısı (D): 0,75 (9 parça hasarlı)
  • Araç tipi katsayısı (E): 0,90 (binek)
  • Değer kaybı = A × B × C × D × E = 90.000 TL
Her ne kadar hasar gören parçaların bir kısmı plastik aksam (tampon, ızgara, far bağlantı elemanları vb.) olsa da, aracın kazalı geçmiş kaydı oluşturması nedeniyle piyasa değerinde fiili bir düşüş meydana gelmiştir.
Bu husus, Sigorta Tahkim Komisyonu’nun ve yargı mercilerinin yerleşik kararlarında da kabul edilmektedir. Parça türü, aracın hasarlı olarak kayda geçmesi gerçeğini ortadan kaldırmadığından, değer kaybı hesabında indirime gidilmesi hukuken ve teknik olarak yerinde değildir."

sadece gpt güvenip tahkimle uğraşmakta istemiyorum ama beni çok ikna edici açıklama yaptı :) bunları bazı kanunlarla da destekledi. ama yasalar güncel mi ondan emin değilim.





< Bu mesaj bu kişi tarafından değiştirildi cauchy33 -- 15 Ekim 2025; 23:6:21 >
Bu mesaja 2 cevap geldi.

Bu mesajda bahsedilenler: @osamanos
K
4 hafta (1 mesaj)
Er

Arkadaşlar Selamlar,
Aracıma park halinde bir nakliyecinin çarpmasıyla sağ arka kapı, çamurluk ve stop lambası hasar gördü. Aracım 2021 model i20. Kaza tutanağını memur eşliğinde tutup gerekli işlemleri sağladıktan sonra kendi kaskomdan yaptırdım ve karşı tarafın trafik sigortası bu tutarı kaskoma ödemesini sağlayacak. Değer kaybı için çok acele etmedim ve uzun bir süre araştırdım. Aracımı yaptırdığım yer dahil vekalet karşılığında kaybınızı alalım diye yalvardılar resmen. Kendi çalıştığım şirketimin avukatına danıştım ve hiç avukata komisyon ödemeden kendin al diye söylemde bulundu bana. Bende karşı tarafın trafik sigortasını aradım ve konu hakkında detaylıca bilgi aldım. Ayrıca gerçekten ilgilendiler bu konu hakkında. Evrakları, fotoğrafları ve kendi dilekçemi yazıp karşı tarafın trafik sigortasına mail attım. 1 gün sonrasında mailimi işleme aldılar. 2 hafta içerisinde ödemeyi yapacaklarını bildirdiler. Ödeme gününden 1 hafta öncesinde de sigorta şirketi yapacakları tutarı ve gününü belirtmiş oldukları bir mail ilettiler. 70K tramer işlendi ve 65k değer kaybı ödemesi aldım. Anlayacağınız komisyon vermeden kendiniz de bu işlemi yapabilirsiniz. Devlet tarafından ücretsiz bir şekilde atadığınız ekspertizlere de hiçbir şekilde gerek yoktur. Zaten bedeli 0 olarak belirtiyorlar ve bir bedel karşılığında aracın değer kaybını bildireceklerini söylüyorlar. Açıkçası buna hiç gerek yok. Eğer bu konu da sıkıntı yaşıyorsanız durumu tekrardan anlatırım, yardımcı olmaya çalışırım. Bu arada öyle hiç uğraş vereceğiniz bir şey de değil. 5 dakikanızı ayırıp sadece bir mail atarak çözüyorsunuz..



G
4 hafta (1447 mesaj)
Yüzbaşı

Arkadaşlar selam şimdi sizle deneyimleri paylaşıyorum :)

Şehirlerarası yolda tır dorsesi ile yan yana çarpıştık tutanağı tuttuk lastik değiştirttim 200 km yaptım
yetkili servise gittim ön arka kapı ve çamurluk değişimi oldu fatura yaklaşık 500.000 çıktı
Komisyon 50-50 kusur oranı çıkardı
Çarpıştığım araç Tır olduğu için pek de yara almadı bastı gitti yoluna :)
Aracı teslim aldım nihai eksper raporu çıktı karşı tarafın trafik sigortasına dilekçe ile mailimi ekleri ile attım. Arabulucuk firması bana 150.000 teklif verdi ben de dedim ki kusur yarı yarıya davayla falan uğraşamam kabul mu etsem diye düşünürken dedim ki ben 200 istiyorum en fazla ortada buluşuruz birkaç gün sonra kabul ettik diye dönmesinler mi :) insanoğlu değil mi aklıma iyice şüphe doğdu daha mı fazla isteseydim diye 😀 190 deseler belki de kafam rahattı.



< Bu ileti iOS uygulamasından atıldı >

M
3 hafta (2 mesaj)
Er

Araç değer kaybı başvurusunda vekalet gerektirmeyen işlem yapan platformlar da mevcut. Örneğin, aracindegeri.com sitesinde işlemler vekalet olmadan yürütülüyor. Başvuru sonrası hak edilen değer kaybı tutarı önce bizim hesabımıza yatırılıyor, ardından ücretlerini bizden talep edebiliyorlar. Böylece süreç hem daha hızlı hem de kullanıcı açısından kontrol edilebilir şekilde ilerliyor. Deneyimlerimi ve sorularınızı paylaşabilirsiniz, ayrıca ücretsiz danışmanlık da mevcut. İlgilenenler için detaylı bilgi ve rehber siteye göz atabilir.



M
3 hafta (247 mesaj)
Çavuş

Ekspertiz raporuna nasıl ulaşabiliriz hocam



< Bu ileti Android uygulamasından atıldı >
Bu mesaja 1 cevap geldi.

Bu mesajda bahsedilenler: @cauchy33
C
3 hafta (818 mesaj)
Yüzbaşı

önce tamiri yapan bayiyi aradım kendilerinde bir belge olmadığını experlik yapan firmadan istemem gerektiğini söylediler ve bana experlik firmasının adını verdiler. Sonra onları aradım benden bir açıklama ve kimlik resmi olan bir mail atmamı istediler. Experlik yapan firma exper raporunu hemen mail ile gönderdi.




Bu mesajda bahsedilenler: @mstf196
L
2 hafta (32 mesaj)
Onbaşı

Hocam aracın değer kaybı araçta gerçek piyasa koşullarında meydana gelen azalmaya göre hesaplanır. Yapay zeka eski genel şartlar hesaplamasına göre yapmış artık bunun bir hükmü yok ama 1.400.000 TL rayiçli sıfıra yakın bir arabada 140.000 TL'lik hasarda 25 bin tl değer kaybı gerçekten az. Eksik kısım için yasal yollara başvurun bence




Bu mesajda bahsedilenler: @cauchy33
R
2 hafta (1040 mesaj)
Yüzbaşı

Ağustos ayında düz yolda giderken dönüş yapan araç geldi bana vurdu ve %100 kusurlu çıktı. Aracın tampon, ön kaput vs işlemleri değişen işçilik dahil 100K civarı tutmuş. SBM üzerinden değer kaybına başvurdum ve eksperin rapor sonucuna göre hesaplanan değer kaybı tutarı: 34.648,32 TL.

Bugün sigorta şirketinden (Ray sigorta) gelen SMS ise şu şekilde.

Sayin Ilgili,
Tarafimiza bildirmis oldugunuz Zorunlu Trafik Sigortasi hasar ihbariyla ilgili gerekli tespit ve inceleme tamamlanmis olup, yapilan inceleme sonucu hasarinizin Sigorta Genel ve Ozel Sartlari geregi teminat disi olmasi nedeniyle tazminat odenemeyecegini kararini bilgilerinize sunar, Saglikli gunler dileriz. 

100K'ya 34 bin değer kaybı az değil mi acaba diye düşünürken sigorta şirketi sağolsun teminat dışı diyerek tazminat ödemem diyor. SBM'nin de atadığı eksper değil mi? Buna itiraz etmek mi mantıklı yoksa yukarıda da linki verilen aracı kurumlar üzerinden mi başvuru yapmak lazım?

Teşekkürler



X
geçen hafta (29 mesaj)
Onbaşı

Merhaba,
Daha önce de buraya yazmıştım. Araç değer kaybı için karşı sigortaya mail atmıştım. Dosya, değer kaybı gerek görülmediği gerekçesiyle Quick Sigorta tarafından kapatıldı. Tramer kaydı 102.000 TL olarak işlenmişti.
Bundan sonra Tahkim Komisyonu’na başvurmam mı daha uygun olur, yoksa konuyu doğrudan bir avukata havale etmek mi daha doğru olur? Teşekkürler

Değişen parçalar:
Sağ far, sağ çamurluk, ön tampon.

SBM ekseperi de 31.397,06 TL deger kaybı belirlemişti.





< Bu mesaj bu kişi tarafından değiştirildi xkeshin -- 4 Kasım 2025; 16:32:24 >

E
geçen hafta (152 mesaj)
Çavuş

Herkese selamlar,
buradaki bütün mesajları okumamış olabilirim sormak daha doğru olabilir diye düşünüyorum,

durum şu şekilde,

Ağustos ayında kaza oldu vs. aracı teslim aldım toplamda 370bin TL fatura kesildi tramer 307 bin TL girildi,
kendim ve karşı taraf kasko sigorta firmaları aynı SOMPO buradaki yazılara istinaden kendim başvurdum olaya,
günler sonra dosya durumu
Dosya Red Sürecinde
olarak düştü sisteme aradığımda 2918 sayılı karayolları trafik kanununa atıfta bulunuyor limiti yok vs diyor,

bu saaten sonra şahısa mı dava açmam lazım yada bu limit olayı nedir birisi anlatırsa sevinirim,müşteri hizmetleri düz metin okuyor durum böyle diyip bitiriyor konuyu.


Bu mesaja 1 cevap geldi.
G
geçen hafta (1447 mesaj)
Yüzbaşı

kasko da limit yok muymuş :) bi avukata sorun bence.
ya bu arada kendi aracımızın tramerini mesaj atmadan nasıl görüyoruz :)




Bu mesajda bahsedilenler: @ErdemStar
A
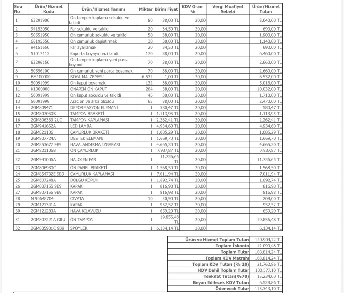
7 gün (596 mesaj)
Yüzbaşı

< Resime gitmek için tıklayın >

Merhaba arkadaşlar. Ağustosta yaptığım kazada karşı taraf %100 kusurlu çıktı, yetkili servis araç tamir faturam ekte(130.577 tl KDV dahil), burada yazan prosedürlerin uyguladım çok teşekkür ederim. Karşı tarafın trafik sigortası Unico ihtiyari arabulucu ile 60.000 tl değer kaybı teklif etti. Arabam 2023 Vw T-cross 1.0 tsi 110 life manuel paket, 67 bin km de kaza yapıldı, güncel kasko değeri 1.537.016 tl görünüyor. Teklif edilen tutarı makul mü sizce, değilse ne yapmak lazım?





< Bu mesaj bu kişi tarafından değiştirildi aras -- 8 Kasım 2025; 11:38:31 >

< Bu ileti mobil sürüm kullanılarak atıldı >
Bu mesaja 1 cevap geldi.